Ответы
Ответ дал:
1
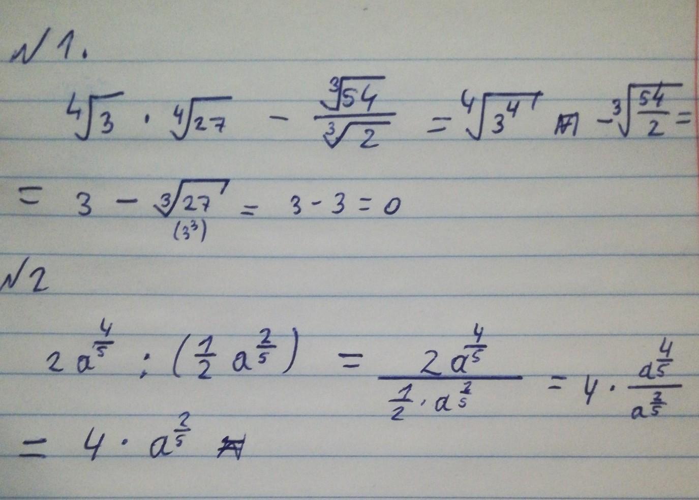
Решение:
1. 0
2. 4*а^(2/5)
Пояснение:
Приложения:

Вас заинтересует
2 года назад
2 года назад
2 года назад
2 года назад
8 лет назад
8 лет назад
9 лет назад