Ответы
Ответ дал:
0
в первом задании ответ 3).50√7
нужно решение к нему?
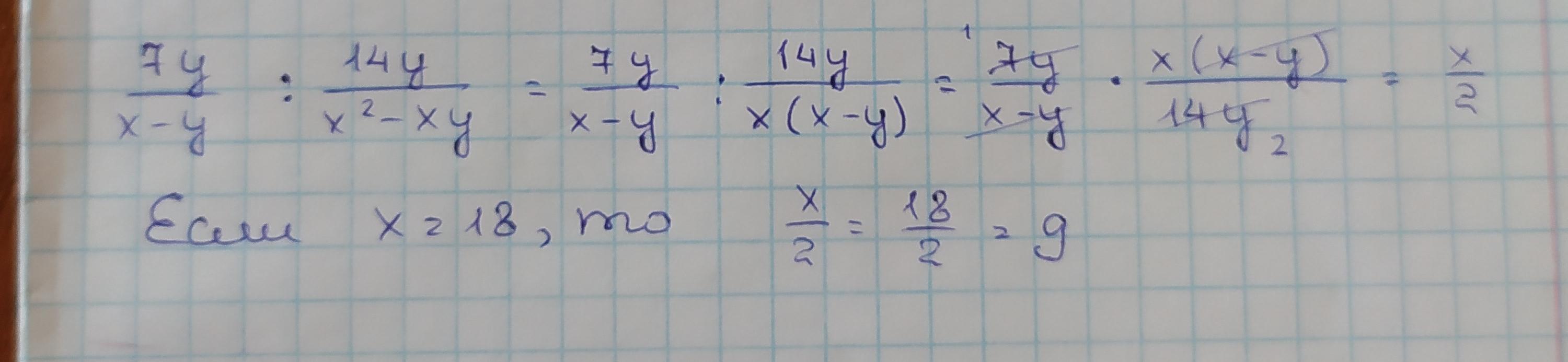
прикрепила решение второго
нужно решение к нему?
прикрепила решение второго
Приложения:

Вас заинтересует
2 года назад
2 года назад
2 года назад
8 лет назад
8 лет назад
9 лет назад