• Предмет: Геометрия
  • Автор: svetlanaolejnicenko5
  • Вопрос задан 7 лет назад

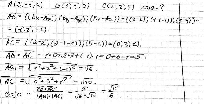
2 ВАРИАНТ Даны точки А(2; -1; 4), B(3; 1; 3), C (2; 2; 5) Найдите угол между векторами AB и AC.​

Ответы

Ответ дал: yevheniiavz
4

.....................................

Приложения:
Вас заинтересует