• Предмет: Алгебра
  • Автор: sky17129
  • Вопрос задан 7 лет назад

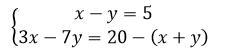
Решите систему уравнений

Приложения:

Ответы

Ответ дал: Mrdenk
1

x - y = 5 => x = 5 + y

Подставим это значение во второе уравнение вместо x.

3 * (5 + y) - 7y = 20 - (5 + y + y)

15 + 3y - 7y = 15 - 2y

2y = 0

y = 0

Подставим в первое уравнение y = 0

x = 5 + 0 = 5

Ответ: x = 5; y = 0

Вас заинтересует