Ответы
Ответ дал:
0
Ответ:
Пошаговое объяснение:
ССмотри фото
Приложения:


Ответ дал:
0
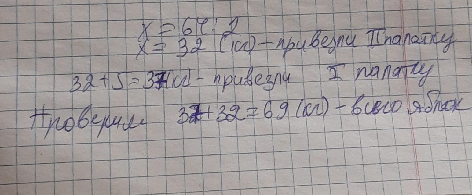
Ответ:
32
Пошаговое объяснение:
1палатка-х+5
2палатка-х
всего-69
решение:
x+5+x=69
2x=69-5
2x=64
x=32 во второй палатке
в первой 37!!
Надеюсь вы решаете через уравнения! удачи)
Вас заинтересует
2 года назад
2 года назад
2 года назад
8 лет назад
8 лет назад
9 лет назад