• Предмет: Физика
  • Автор: dslagutenko
  • Вопрос задан 7 лет назад

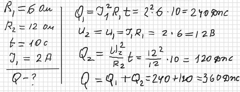
Два провідники з опорами 6 Ом і 12 Ом з’єднані паралельно. Визначити кількість теплоти, що виділяється в обох провідниках за 10 с, якщо по першому провіднику проходить струм 2 А.

Ответы

Ответ дал: zybkov1950
15

Відповідь: 360 Дж

Пояснення:

Приложения:

dslagutenko: спасибо большое)))
Вас заинтересует