• Предмет: Алгебра
  • Автор: olexandrvalenkevych
  • Вопрос задан 7 лет назад

Допожіть прошу умаляю

Приложения:

Ответы

Ответ дал: podkorytovaelena94
2

Ответ:

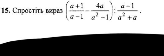
(\frac{a+1}{a-1} - \frac{4a}{a^2-1}) : \frac{a-1}{a^2+a}   = (\frac{a+1}{a-1} - \frac{4a}{(a-1)(a+1)}) * \frac{a^2+a}{a-1} = (\frac{(a+1)(a+1)-4a}{(a-1)(a+1)})*   \frac{(a+1)a}{a-1} = \frac{a^2+2a+1-4a}{(a-1)(a+1)}*   \frac{(a+1)a}{a-1}  = \frac{a^2-2a+1}{(a-1)(a+1)}*   \frac{(a+1)a}{a-1}   = \frac{(a-1)^2}{(a-1)(a+1)}  * \frac{a(a+1)}{(a-1)} = a


olexandrvalenkevych: Дякую!!!
Ответ дал: kittyamqq
2
нмганмнмнмнмнмгиштджлравродджжх
Приложения:

an00ia: Извините, вы бы не могли мне помочь, с темой "Визначення похідної"? задание у меня в профиле
Вас заинтересует