• Предмет: Алгебра
  • Автор: olexandrvalenkevych
  • Вопрос задан 7 лет назад

Допоможіть умаляю будь ласка даю максимальну кількість балів будь ласка не кидайте мене я нечого не розумію тут

Приложения:

uvvuuvuvyvhbyv: можете мне помочь

Ответы

Ответ дал: podkorytovaelena94
2

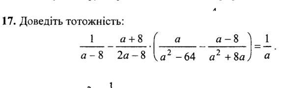
Ответ:

\frac{1}{a-8} - \frac{a+8}{2a-8}*(\frac{a}{a^2-64} - \frac{a-8}{a^2+8a}) = \\    \frac{1}{a-8} - \frac{a+8}{2a-8}*(\frac{a}{(a-8)(a+8)} - \frac{a-8}{a(a+8)}) =  \frac{1}{a-8} - \frac{a+8}{2a-8}*(\frac{a^2-(a-8)^2}{(a-8)(a+8)a}) = \frac{1}{a-8} - \frac{a+8}{2a-8}*(\frac{a^2-a^2+16a-64}{(a-8)(a+8)a}) =  \frac{1}{a-8} - \frac{a+8}{2a-8}*(\frac{16a-64}{(a-8)(a+8)a}) = \frac{1}{a-8} - \frac{a+8}{2a-8}*\frac{16(a-4)}{(a-8)(a+8)a} = \frac{1}{a-8} - \frac{a+8}{2(a-4)}*\frac{16(a-4)}{(a-8)(a+8)a} =

=\frac{1}{a-8} - \frac{8}{a(a-8)}  = \frac{a}{(a-8)a} - \frac{8}{a(a-8)}  = \frac{a-8}{a(a-8)}  = \frac{1}{a}


olexandrvalenkevych: Дякую величезне!!!!!
Вас заинтересует