• Предмет: Алгебра
  • Автор: abycenkov847
  • Вопрос задан 7 лет назад

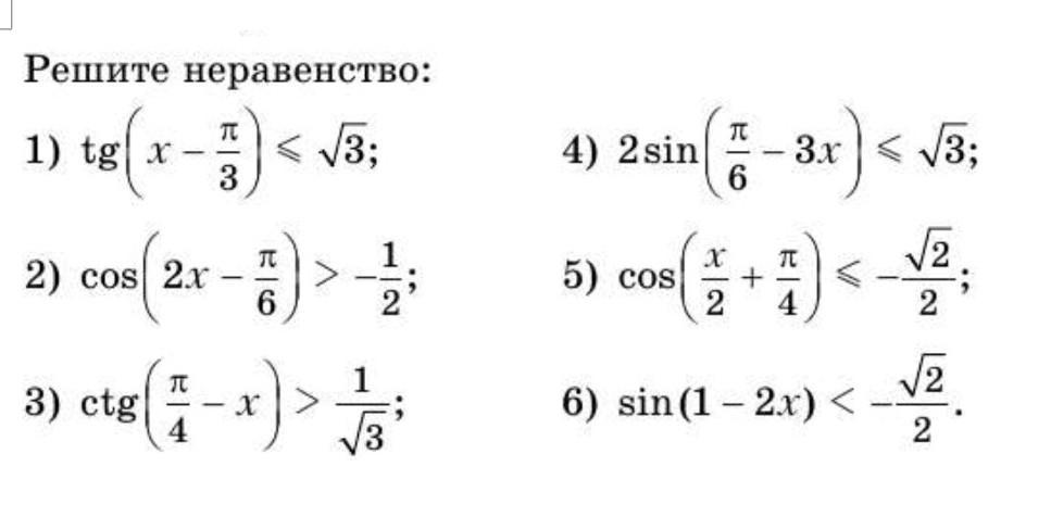
Решение тригонометрических неравенств. Фото прилагается.
!ОБЯЗАТЕЛЬНО! на бумаге.​

Приложения:

Ответы

Ответ дал: karinashmoyilova
1

Ответ:примерно так делать,возможно есть ошибки в последнем. И я не помню, как находить в конце <и >

Объяснение:

Приложения:
Вас заинтересует