• Предмет: Алгебра
  • Автор: tavorskayairirna
  • Вопрос задан 7 лет назад

срочноооооо ответы нужно кто делал?
даю 50 баллов....​

Приложения:

Ответы

Ответ дал: elenanik2050
1

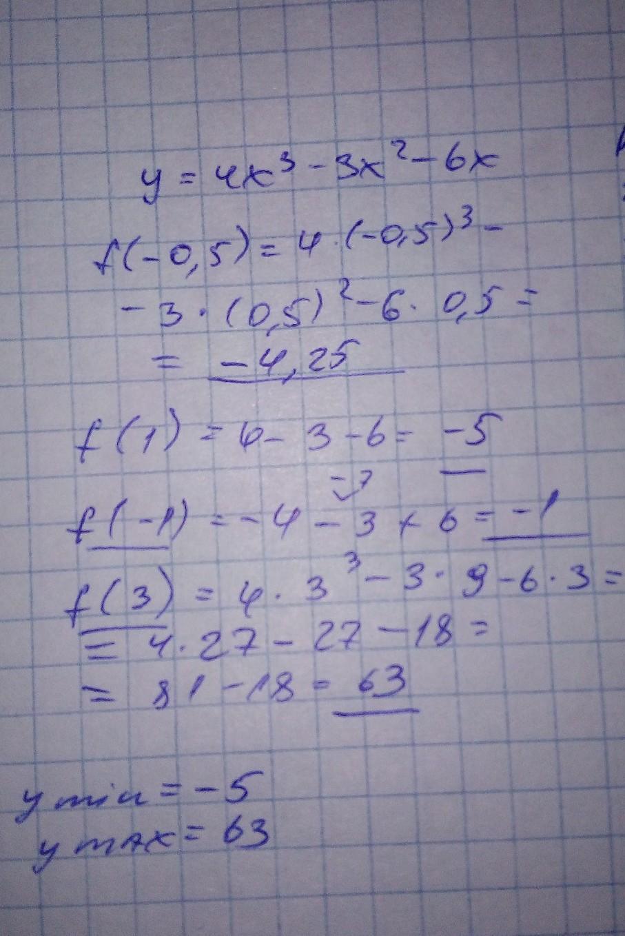
3 задание могу помочь

 = 12{x}^{2}  - 6x - 6 = 0 \\ 2 {x}^{2}  - x - 1 = 0 \\ 2 {x}^{2}  + x - 2x - 1 = 0 \\ x(2x  + 1) - (2x + 1) = 0 \\ (2х+1)(х-1)=0; 2х+1=0 ; х1=-0.5; х2=1

подставим в первоначальную -1;-0.5;1;3

Приложения:

tavorskayairirna: спасибо)
tavorskayairirna: это правильно?
elenanik2050: добавила полное решение
elenanik2050: если есть иной вариант то можете решить сами
Вас заинтересует