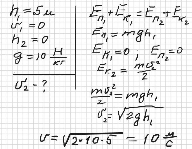
Тіло падає з висоти 5 м. Визначте, чому дорівнює швидкість тіла в момент падіння на поверхню Землі.Срочно даю 45балов.
Ответы
Ответ дал:
2
Відповідь: 10 м/с
Пояснення:
Приложения:

solka0000:
допоможіть мені ,будь ласка ,з фізикою .Задачу вже додала до своїх питань
Вас заинтересует
2 года назад
2 года назад
2 года назад
8 лет назад
8 лет назад
9 лет назад