• Предмет: Алгебра
  • Автор: 108artik
  • Вопрос задан 7 лет назад

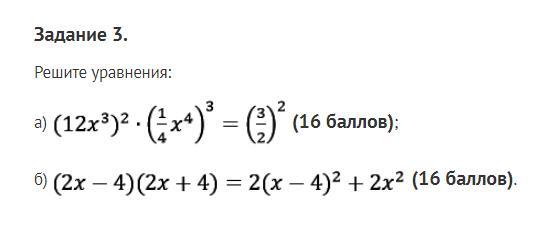
100 БАЛЛОВ!СРОЧНО!!!ПОМОГИТЕ ПОЖАЛУЙСТА!!

Приложения:

Ответы

Ответ дал: aminbaevasumayra
1

Ответ:

Объяснение:фото прикрепила

Приложения:

108artik: спасибо
Вас заинтересует