• Предмет: Алгебра
  • Автор: shubeninleha20
  • Вопрос задан 7 лет назад

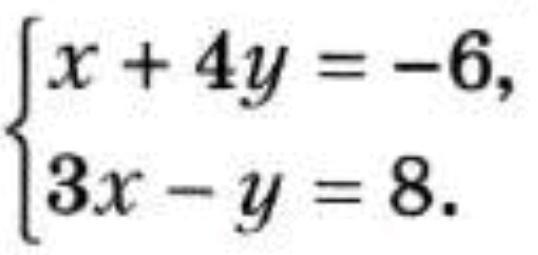
Решите линейное уравнение методом подстановки

Приложения:

Ответы

Ответ дал: usasdango
1

{x =  - 6 - 4y

{3x - y = 8

3( - 6 - 4y) - y = 8

y =  - 2

x =  - 6 - 4 \times  ( - 2)

x = 2

Ответ дал: f4536p
1

Ответ:

x=2; y=-2

Объяснение:

выразим y через x из второго уравнения и подставим в первое

y=3x-8 ⇒ x+4(3x-8)=-6

13x=32-6

13x=26

x=2 подставим x в любое уравнение, например в первое:

6-y=8

y=-2

Вас заинтересует