Найдите массовую долю (%) соли в растворе, полученном при смешивании 200 г 10%-ного раствора соли с 300 г 20%-ного раствора той же соли.
Ответы
Ответ дал:
0
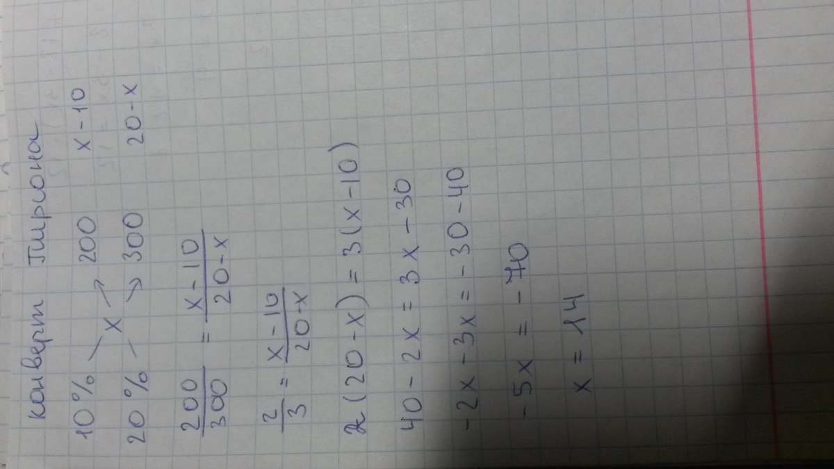
есть такой распространенный способ.
Приложения:

Ответ дал:
0
неуверена но может так
Х соль / 200 г = 10%=0,1
х = 200 * 0,1 = 20 г соли
х соль / 300 г = 20% = 0,2
х = 300 * 0,2 = 60 г соли
60 + 20 = 80 г соли общей
200 + 300 = 500 г воды
80/500 * 100 = 0,16 * 100 = 16%
Х соль / 200 г = 10%=0,1
х = 200 * 0,1 = 20 г соли
х соль / 300 г = 20% = 0,2
х = 300 * 0,2 = 60 г соли
60 + 20 = 80 г соли общей
200 + 300 = 500 г воды
80/500 * 100 = 0,16 * 100 = 16%
Приложения:

Вас заинтересует
2 года назад
8 лет назад
10 лет назад
10 лет назад
10 лет назад