ПОМОГИТЕ ПОЖАЛУЙСТА, ОЧЕНЬ НУЖНО, ОСТАЛОСЬ 10 МИНУТ
Приложения:

danyahomenko209:
Кому не сложно помогите с 2(в профиле)
Ответы
Ответ дал:
1
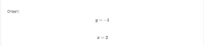
Ответ:
строишь две прямые
первая по точкам
х=0 у=-3
х=3 у= 0
х =6 у= 3
вторая по точкам
х=0 у=-5
х=3 у=1
х =6 у = 7
точка пересечения прямых и есть ответ
если что это точка (2; -1)
Ответ дал:
1
Объяснение:
смотри в прикрепленное там есть график.
отметь пж как лучший
Приложения:




Вас заинтересует
2 года назад
2 года назад
2 года назад
2 года назад
8 лет назад
8 лет назад