• Предмет: Алгебра
  • Автор: Zienbaevadinara894
  • Вопрос задан 7 лет назад

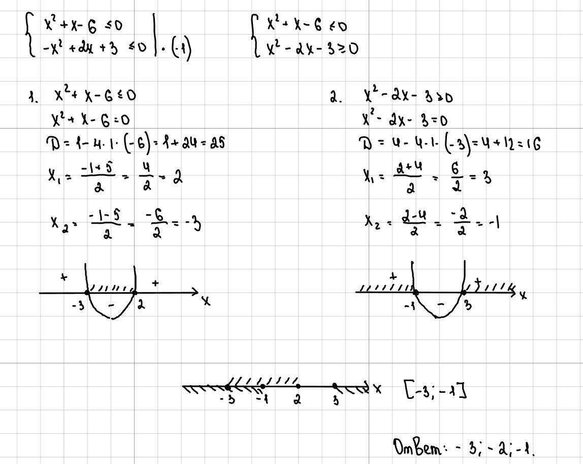
Выпишите все целые числа, удовлетворяющие неравенству.

Приложения:

Ответы

Ответ дал: Juliaa21
1

Решение во вложении:

Приложения:
Вас заинтересует