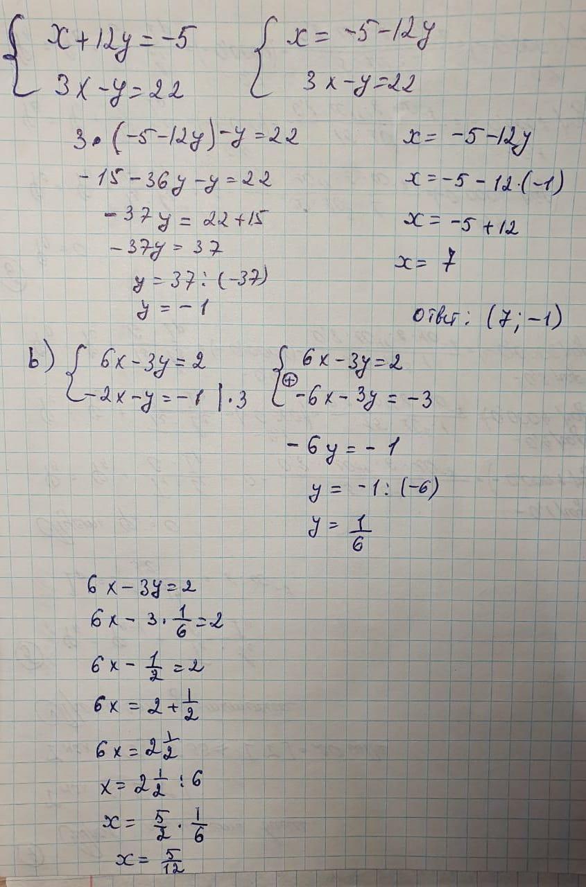
3.Решите системы уравнений: а) способом подстановки - (х+12y = -5 3х - у = 22.
b) способом сложения 6x - Зу = 2 -2х - у = -1
Ответы
Ответ дал:
0
Ответ:
Пошаговое объяснение:
Приложения:

Вас заинтересует
2 года назад
2 года назад
2 года назад
2 года назад
8 лет назад
8 лет назад
9 лет назад