• Предмет: Математика
  • Автор: lutiypabger
  • Вопрос задан 7 лет назад

Розв'яжіть рівняння а,б​

Приложения:

Ответы

Ответ дал: TutorOnline
1

Ответ:

Пошаговое объяснение: в закрепе

Приложения:

lutiypabger: Дуже Вам вдячна☺️
TutorOnline: а?
lutiypabger: так
Ответ дал: manyny06
1

Ответ:

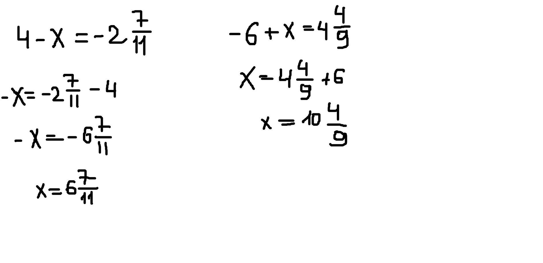
решение смотри на фотографии

Приложения:

lutiypabger: Дякую)
TutorOnline: так ведь просили только а) и б)
Вас заинтересует