• Предмет: Алгебра
  • Автор: linka818
  • Вопрос задан 7 лет назад

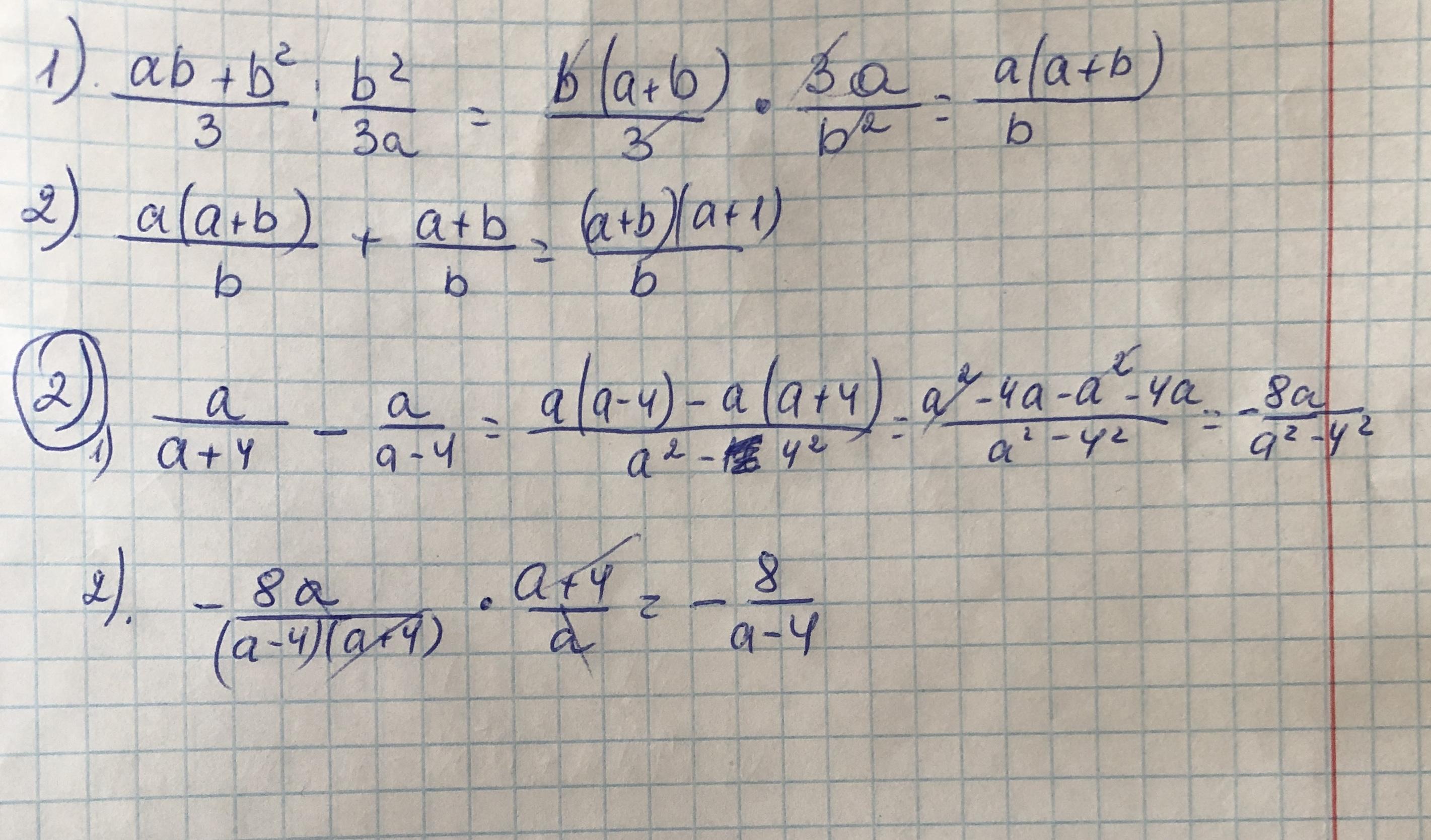
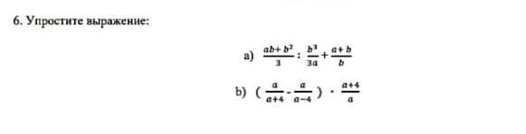
ПОМОГИТЕ ПЖ пжпжпжпжжпжппж ​

Приложения:

Ответы

Ответ дал: Какжебыть
0

Ответ:

ответ на фото

Объяснение:

Приложения:
Ответ дал: annnovak21122000
0

--------------------

Приложения:
Вас заинтересует