• Предмет: Математика
  • Автор: pervakevgeniia
  • Вопрос задан 7 лет назад

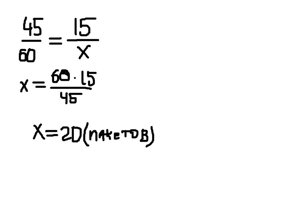
45 кг борошна розфасували в 15 пакетів, порівну в кожен. Скільки потрібно таких пакетів, щоб розфасувати 60 кг борошна?​

Ответы

Ответ дал: TutorOnline
4

Ответ:

Пошаговое объяснение:

Составим пропорцию

Приложения:

pervakevgeniia: Це 3 клас будь ласка напишіть зрозуміліще
TutorOnline: а вы пропорции не изучали чтоль?
pervakevgeniia: Ні
pervakevgeniia: Там щось ділити треба
TutorOnline: говорите по русски)
Ответ дал: iramazurk
0

Пошаговое объяснение:

1) 45 : 15 = 3 (кг) - в 1 пакете

2) 60 : 3 = 20 (пакетов) - потребуется для 60 кг

Ответ: 20 пакетов

Вас заинтересует