Срочно, даю 100 балов!!!
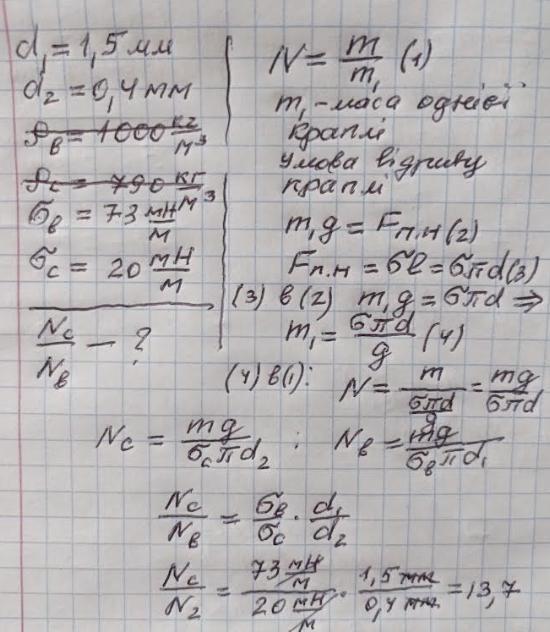
Бюретки з діаметрами отворів 1,5 мм і 0,4 мм містять рівні маси води та спирту відповідно. Порівняйте кількість крапель, що утвориться в кожній з бюреток.
Коефіцієнт поверхневого натягу для води - 73 мН/м, спирту -20 мН/м.
bomjik3251:
оптима?
Ответы
Ответ дал:
3
Відповідь: кількість крапель спирту у 13,7 рази більша
Пояснення:
Приложения:

Вас заинтересует
2 года назад
2 года назад
2 года назад
8 лет назад
9 лет назад