Ответы
Ответ дал:
0
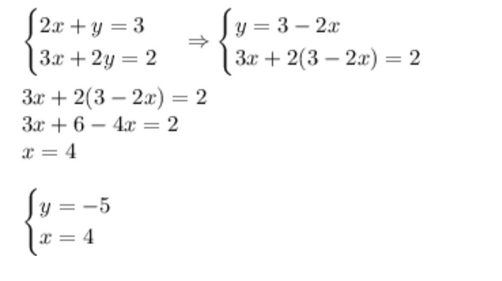
Ответ:Ответ на фотофотофото
Объяснение:
Приложения:

Вас заинтересует
2 года назад
2 года назад
2 года назад
8 лет назад
9 лет назад