• Предмет: Алгебра
  • Автор: bymbymmama
  • Вопрос задан 7 лет назад

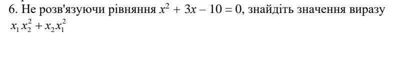
Помогите пожалуйста |:'') ​

Приложения:

Ответы

Ответ дал: victoriakki44465
1

Объяснение:

x1= - 5

x2= 2

-5*4 + 2*25 = - 20+50=30

Вас заинтересует