• Предмет: Математика
  • Автор: bigun593
  • Вопрос задан 7 лет назад

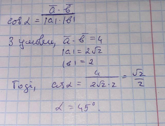
8. Знайдіть кут між: векторами |а|=2√2; |b|=2; ab=-4.​

Приложения:

Ответы

Ответ дал: yevheniiavz
0

дивіться фото...................

Приложения:
Вас заинтересует