Решите систему уравнений способом подстановки:
Приложения:

miki68:
х=2+у , 2*(2+у)-3у=-1 , 4+2у-3у=-1 , -у=-1-4 , у=5 , х=2+5 , х=7
Ответы
Ответ дал:
0
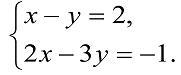
x - y = 2. x = 2 + y
2x - 3y = -1. 2 • (2 + y) - 3y = -1
x = 2 - 5 4 + 2y - 3y = -1
x = - 3 y = -1 - 4
y = -5
2x - 3y = -1. 2 • (2 + y) - 3y = -1
x = 2 - 5 4 + 2y - 3y = -1
x = - 3 y = -1 - 4
y = -5
Вас заинтересует
2 года назад
2 года назад
2 года назад
9 лет назад