• Предмет: Алгебра
  • Автор: yulllli
  • Вопрос задан 7 лет назад


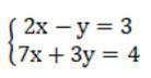
Розв’язати систему лінійних рівнянь із двома змінними способом підстановки

Приложения:

Ответы

Ответ дал: serogapirogok
1

Ответ:

2x-y=3 y= -(3-2x)

7x+3y=4 y= (4-7x)/3

-3+2x=(4-7x)/3

-9+6x=4-7x

13x=13

x=1

Підставимо х в рівняння 2х-у=3 :

2(1)-у=3

у= -1

Вас заинтересует