• Предмет: Алгебра
  • Автор: vladfilipenko14
  • Вопрос задан 7 лет назад

Алгебра 6-7 класс.
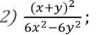
Сократить дроби:

Приложения:

Ответы

Ответ дал: Inte1gral
1

Ответ:

Внизу

Объяснение:

Представим дробь в виде \frac{(x+y)(x+y)}{6(x-y)(x+y)} и получим \frac{x+y}{6(x-y)}


vladfilipenko14: спс
Вас заинтересует