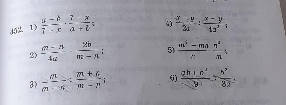
452.Где зачёркнуто это не надо,РЕШИТЕ УМОЛЯЮ,У МЕНЯ СОЧ.ЕРУНДУ НЕ ПИСАТЬ !!!!СРОЧНО,РАСПИСЫВАЯ,
РАСПИСЫВАЯ ПРИМЕР
Приложения:

Ответы
Ответ дал:
0
Ответ:
1)
2)
5)
Вас заинтересует
2 года назад
2 года назад
2 года назад
2 года назад
8 лет назад
8 лет назад
9 лет назад