• Предмет: Математика
  • Автор: stesha34
  • Вопрос задан 7 лет назад

пжпжпжжп. а-678=678
(524-х)-133=207
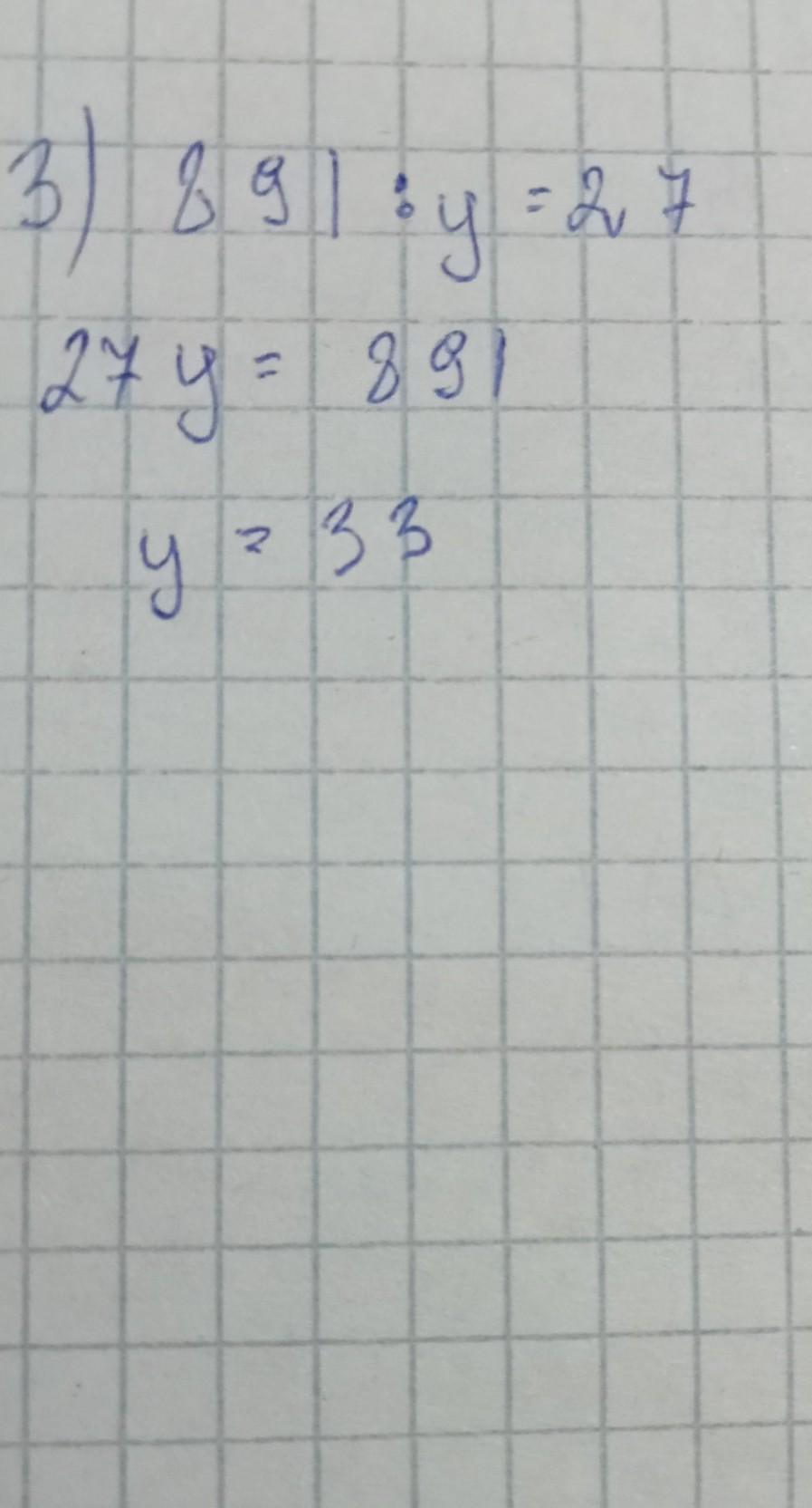
891:у=27
пжпжпжжпжпжпжпжпжпжп

Ответы

Ответ дал: zhan1k3
1

Пошаговое объяснение:

сделай как лучший ответ

Приложения:

zhan1k3: в каком смысле?
stesha34: тип когда 2 ответа, тогда можно выбрать кто лучший
zhan1k3: а , точно
stesha34: спасибо
stesha34: пожалуйста
stesha34: можешь ответить на последние задание
stesha34: не обязана
stesha34: но если сможешь
zhan1k3: к сожалению не могу
stesha34: ок
Вас заинтересует