• Предмет: Алгебра
  • Автор: kaoeyrrr
  • Вопрос задан 7 лет назад

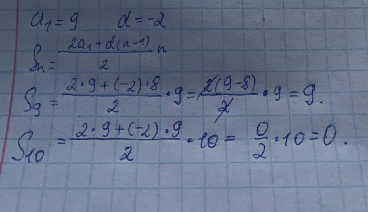
а1=9,d=-2
сумма 9 член и сумму первых 10ти членов арифметической прогрессии

Ответы

Ответ дал: yevheniiavz
0

.............................

Приложения:
Вас заинтересует