• Предмет: Алгебра
  • Автор: LegendCSS
  • Вопрос задан 3 года назад

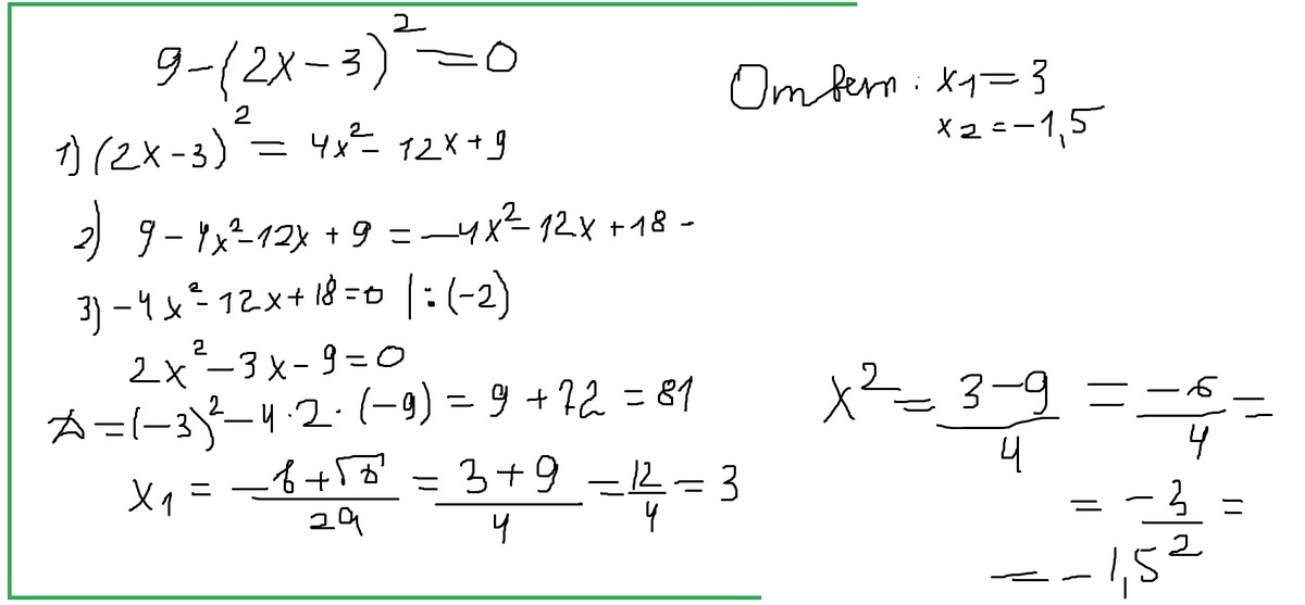
как решить уравнение:9-(2х-3)^2=0

Ответы

Ответ дал: nicehuseynov
0
это квадратное уравнение, раскрой скобки, нвйди подобные, и реши через D1
Ответ дал: Prosto145
0
если что-то не понятно пиши)

Приложения:
Вас заинтересует