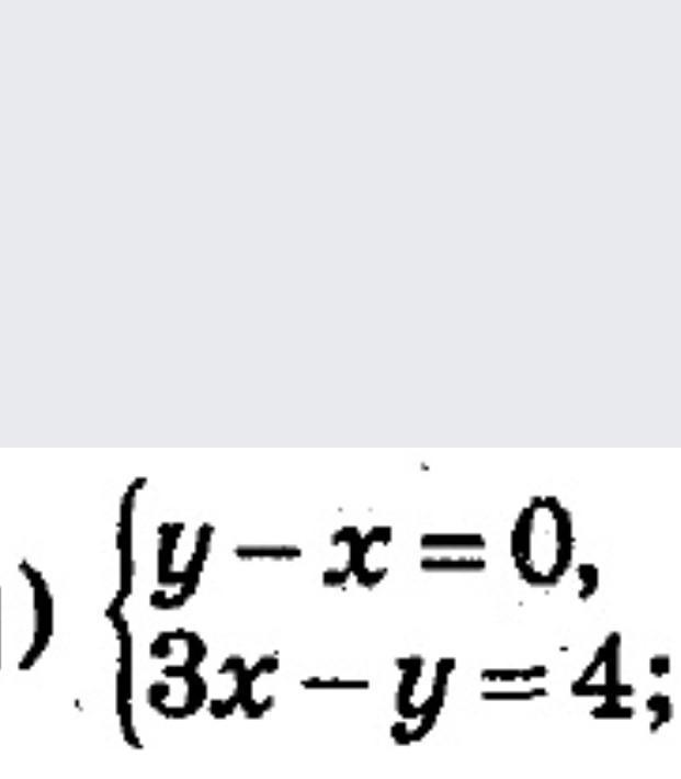
Помогите ❗❗❗❗❗❗❗❗Розв'язати рівняння трьома способами (графічним, підстановки, додавання)
Приложения:

Ответы
Ответ дал:
0
........................
Приложения:


Вас заинтересует
2 года назад
2 года назад
2 года назад
8 лет назад
9 лет назад
9 лет назад