• Предмет: Алгебра
  • Автор: star5477
  • Вопрос задан 7 лет назад

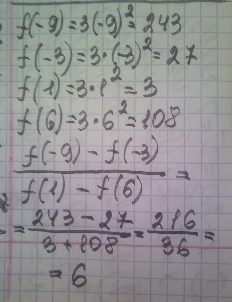
Функция задана формулой f(x) = 3x^2. Вычисли значение выражения f(−9)−f(−3)\f(1)+f(6).
(Ответ округли до сотых.)



Ответы

Ответ дал: manyny06
0

Ответ:

решение смотри на фотографии

Приложения:
Вас заинтересует