• Предмет: Математика
  • Автор: 05090524
  • Вопрос задан 7 лет назад

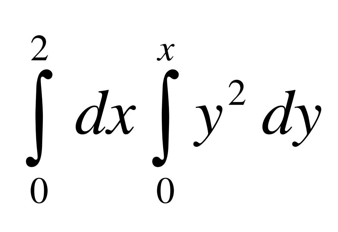
Обчислити повторний інтеграл

Приложения:

Ответы

Ответ дал: sveta19977778
1

Ответ:

відповідь 4/3, рішення на фото,

Приложения:
Ответ дал: Alnadya
0

Решение.

Сначала вычисляем внутренний интеграл, затем внешний .

\displaystyle \bf \int\limits_0^2\, dx\int\limits_0^{x}\, y^2\, dy=\int\limits_0^2\, dx\Big(\frac{y^3}{3}\, \Big|_0^{x}\Big)=\int\limits_0^2\, \frac{x^3}{3}\, dx=\frac{x^4}{3\cdot 4}\, \Big|_0^2=\\\\\\=\frac{1}{12}\cdot 2^4=\frac{16}{12}=\frac{4}{3}

Вас заинтересует