• Предмет: Алгебра
  • Автор: bairukulia
  • Вопрос задан 7 лет назад

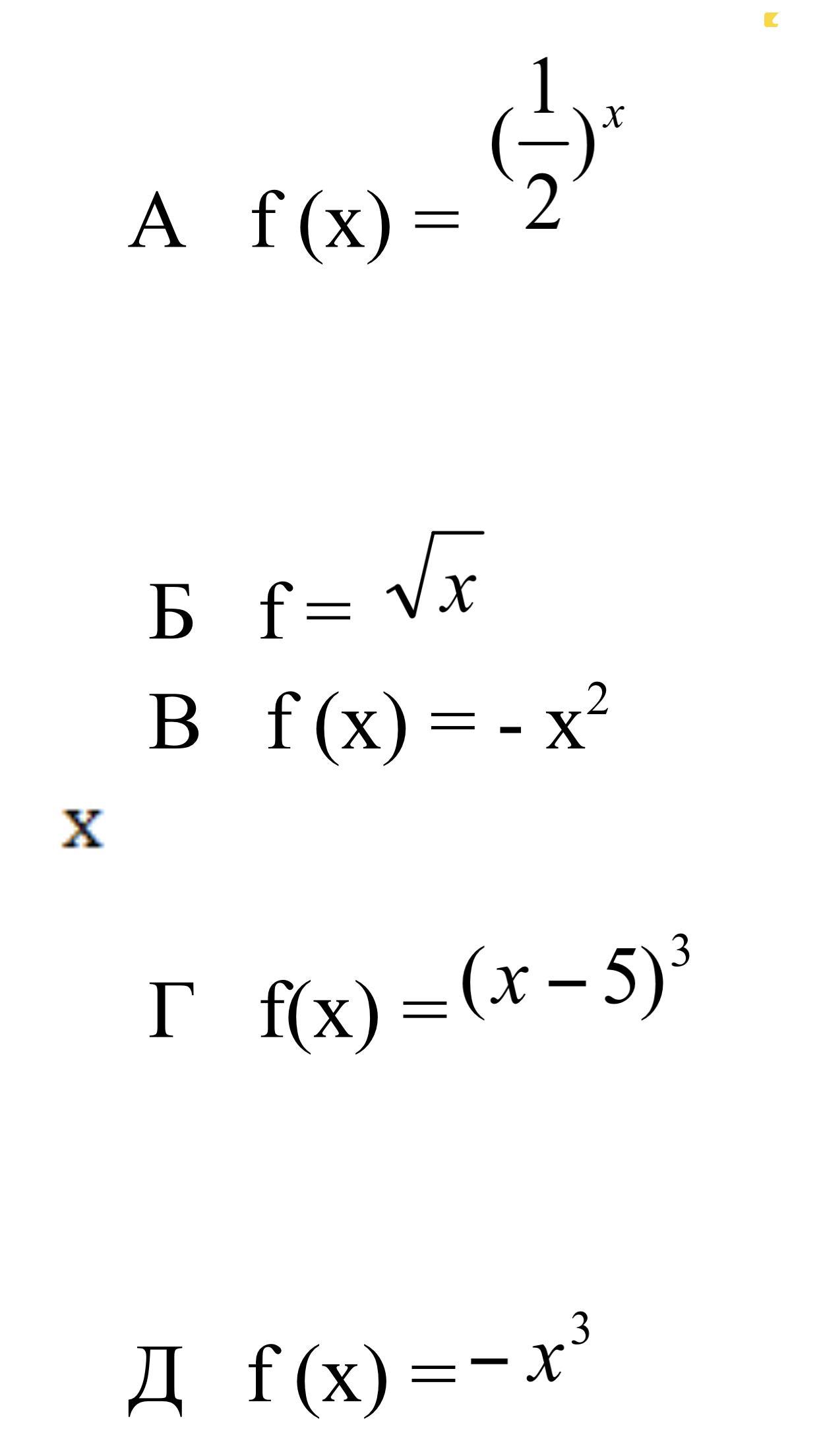
Встановіть відповідність між властивостями функції (1-4) та функцією, заданою формулою(А-Д).


1.Функція спадає на всій області визначення

2. Функція парна


3. Область значень функції [0;+∞)


4. Графік функції має дві точки перетину з графіком функції

у = - х2

А f (x) =

Б f =

В f (x) = -

Г f(x) =


Д f (x) =

Приложения:

Ответы

Ответ дал: kilivnikmaks
3

Ответ:

1 - А

2 - В

3 - Б

4 - Д

Вас заинтересует