ПОМОГИТЕ ПОЖАЛУЙСТА СРОЧНО!! ДАЮ 47 БАЛЛОВ!! Р.s. У задачах має бути: Дано, Розв'язання.
За ответы не в тему, баню и кидаю жалобу.
Приложения:

Ответы
Ответ дал:
1
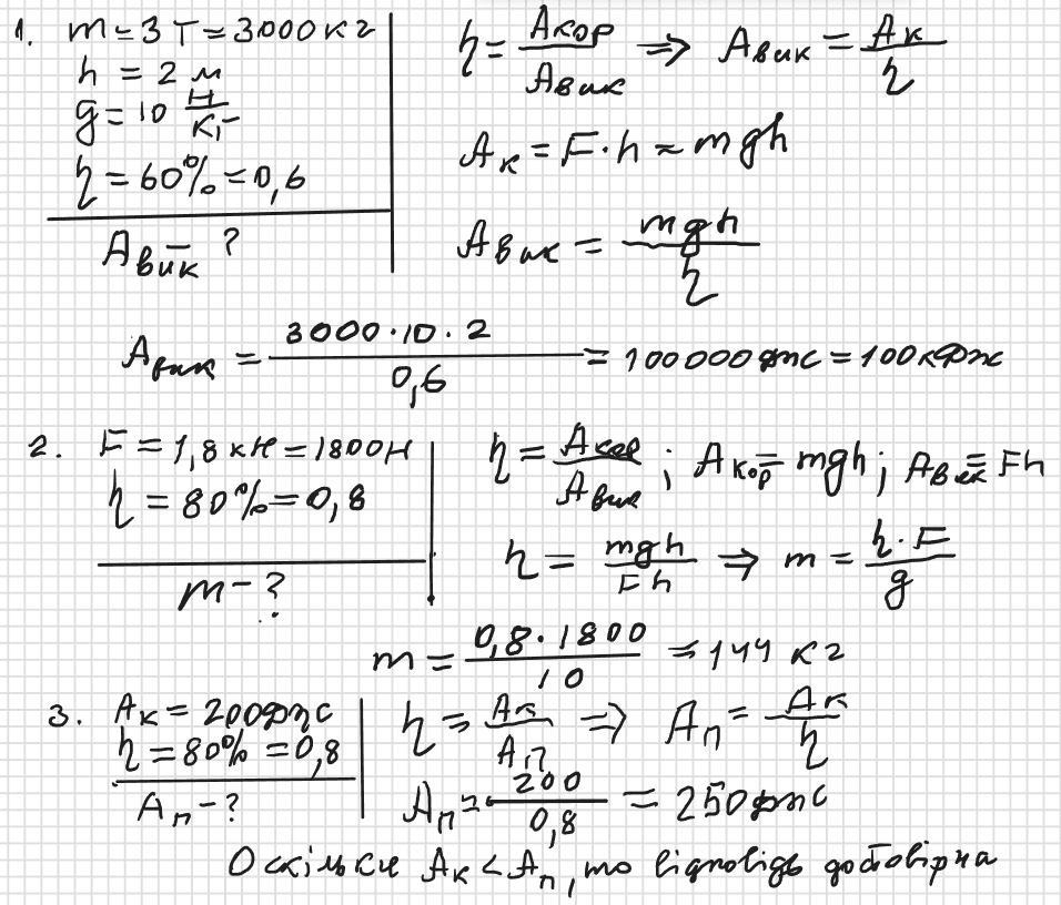
Відповідь: Див. додаток
Пояснення:
Приложения:

TarelkaKenma:
Дякую!!
Вас заинтересует
2 года назад
2 года назад
2 года назад
8 лет назад
8 лет назад
9 лет назад