Ответы
Ответ дал:
1
Ответ:
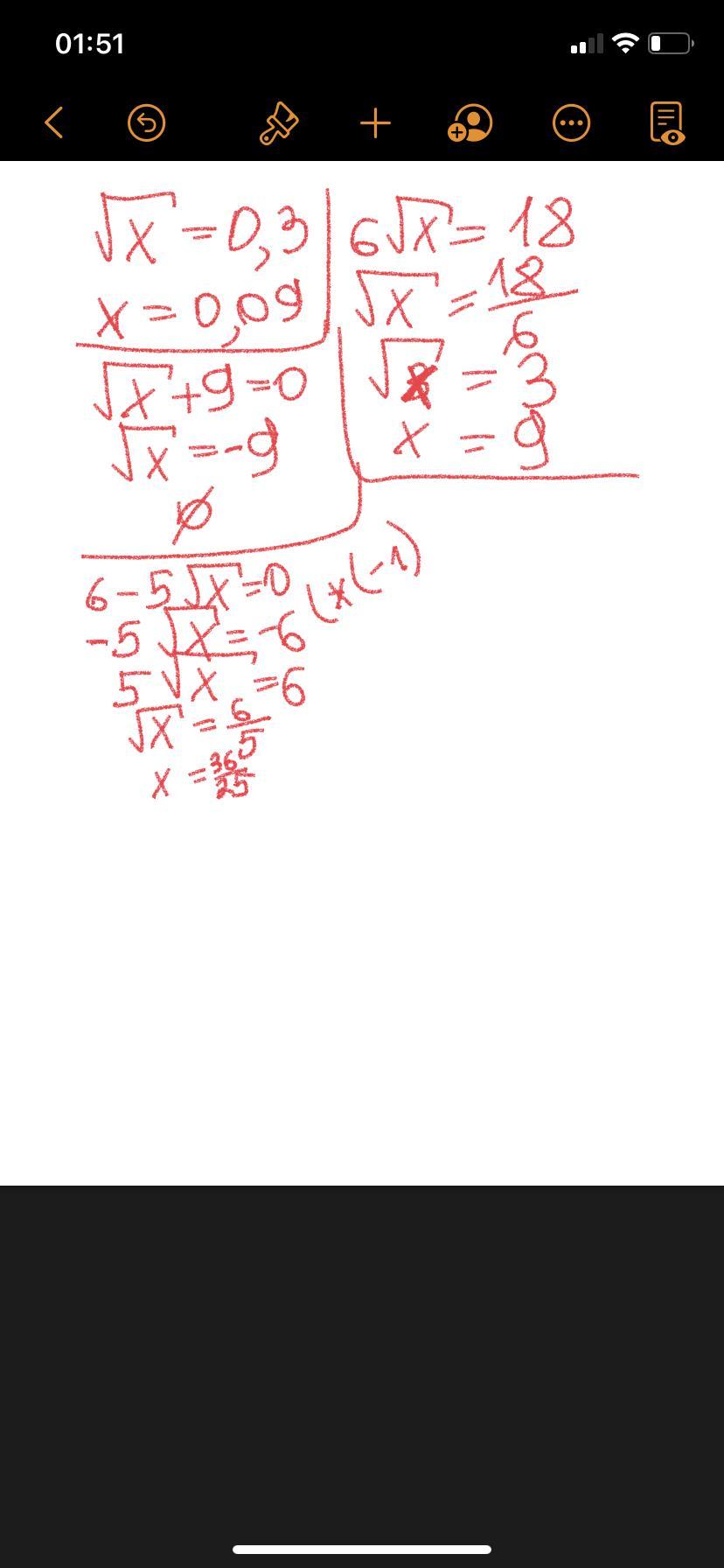
ответ и пояснение на фото
Объяснение:
Приложения:

Ответ дал:
1
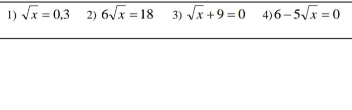
1) нужно правую и левую часть уравнения возвести в квадрат
2)
3)
x ∈ ∅
4)
karinashmoyilova:
Слабо чтоли самому посчитать? Берёте из сайтов. Задание 5 класса
Вас заинтересует
2 года назад
2 года назад
2 года назад
8 лет назад
9 лет назад
9 лет назад