• Предмет: Математика
  • Автор: 32423dd
  • Вопрос задан 7 лет назад

Вычислите десятый член геометрической прогрессии

Приложения:

Ответы

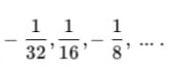
Ответ дал: manyny06
1

Ответ:

решение смотри на фотографии

Приложения:
Вас заинтересует