СРОООЧНО ДАЮ 100 БАЛЛОВ!!!!!!
Задание 1
Разложите выражения на множители:
а) (4x2 + 9y2)2 − 144x2y2
б) x3 − 9x2 + 27x − 19
Задание 2
Решите уравнения:
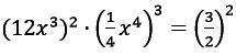
Задание 3
Найдите значения x и y, при которых многочлен 2x2 + 3xy − 8y2 − 9y + 8 принимает наименьшее значение, учитывая, что x − 2y = 3.
Картинки к заданию 2:
Приложения:


Ответы
Ответ дал:
2
Ответ:
Объяснение:
1. a) =
=
б) =
=
----------------------------------------------------------------------------------------------------------
2.
Сокращаем на 16.
----------------------------------------------------------------------------------------------------------
----------------------------------------------------------------------------------------------------------
3. Нету сейчас времени. Извините.
Вас заинтересует
2 года назад
2 года назад
2 года назад
2 года назад
8 лет назад
8 лет назад