• Предмет: Геометрия
  • Автор: alimak0103
  • Вопрос задан 7 лет назад

Пожалуйста помогите. Это очень срочно. Внутри параллелограмма ABCD выбрали произвольную точку Е. Докажите, что сумма площадей треугольников AEB и CED равна половине площади параллелограмма.

Ответы

Ответ дал: sulimanovaalmira
1

Объяснение:

Решение.

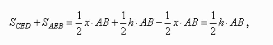
Проведем в параллелограмме ABCD высоту MN, равную h, и проходящую через точку E. Пусть расстояние ME=x, тогда NE=h-x. Площадь параллелограмма можно вычислить как

(1 картина)

а площади треугольников как

(2 картина)

Так как в параллелограмме противоположные стороны равны, то AB=CD и сумма площадей треугольников равна

(3 картина)

что в точности равно половине площади параллелограмма ABCD. Утверждение доказано.

Приложения:

alimak0103: огромнейшее спасибо
sulimanovaalmira: ))
Вас заинтересует