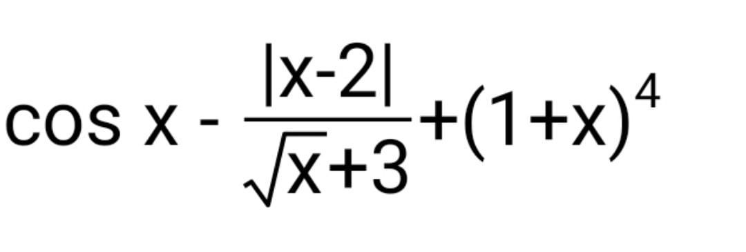
Запишите на Паскале формулу:

Приложения:

Ответы

Ответ дал: ibragimovramis223
4

Ответ:

var cosx, x, y:real;

begin

write('Введите значение косинуса "cos(x)" в радианах = ');

read(cosx);

write('Введите значение х = ');

read(x);

y := cosx - (Abs(x - 2) / (Sqrt(x) + 3)) + exp(Ln(1 + x) * 4);

write(y:10:3);

end.

Объяснение:

Косинус угла в радианах надо ввести, по-другому не получилось!!!

Вас заинтересует