Ответы
Ответ дал:
1
Ответ:
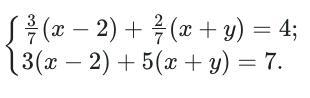
Решение на листке
Объяснение:
На листке
Приложения:

Ответ дал:
2
Ответ:
решение смотри на фотографии
Приложения:

Вас заинтересует
2 года назад
2 года назад
8 лет назад
8 лет назад
9 лет назад