• Предмет: Математика
  • Автор: exiemdfk
  • Вопрос задан 7 лет назад

Даю 14 балов до понедельника

Приложения:

Ответы

Ответ дал: llerasoll
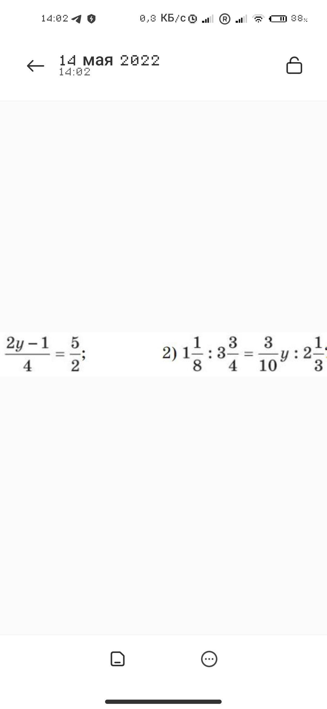
1
Решение на прикрепленном фото
Выбери лучшим ❤️
Приложения:
Вас заинтересует