• Предмет: Математика
  • Автор: ravilyakuda
  • Вопрос задан 7 лет назад

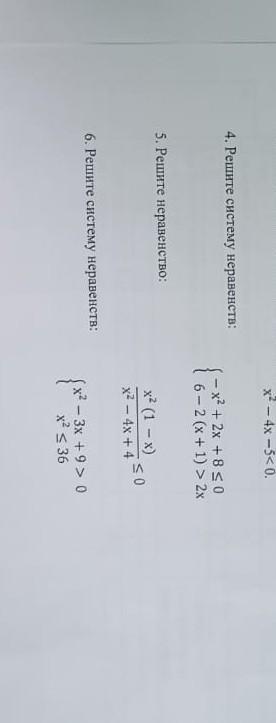
Помогите пожалуйста. Дам 90 баллов​

Приложения:

Ответы

Ответ дал: manyny06
1

Ответ:

решение смотри на фотографии

Приложения:

ravilyakuda: Спасибо вам большое! Дай бог вам благополучия
Вас заинтересует