СРОЧНОООООО ДЗ пжпжпжпжжпжпп
Приложения:

Vivernar:
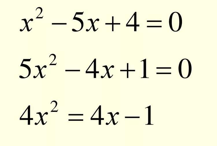
По дискриминанту или по теореме Виета, это все квадратные уравнения
Ответы
Ответ дал:
2
Ответ:
а)1 и 4
б)нет решения
в)0.5
Пошаговое объяснение:
Ответ дал:
2
Ответ:
Внизу
Пошаговое объяснение:
1) Сумма коэффициентов равна 0, значит корни x=1 и x=4(c/a)
2) Д=16-20<0, значит нет решений для x ∈ R
3) ⇔ x=0.5
Вас заинтересует
2 года назад
2 года назад
2 года назад
2 года назад
8 лет назад
8 лет назад
9 лет назад
9 лет назад