• Предмет: Математика
  • Автор: kokr89stttttt
  • Вопрос задан 7 лет назад

Чи правильна рівність?

Приложения:

AsimptotaAlgebrovna: нет
TutorOnline: нет

Ответы

Ответ дал: bena20193
1

Ответ:

Пошаговое объяснение:

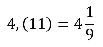
4,(11) это чистая периодическая дробь, чтобы ее преобразовать в обыкновенную надо период разделить на число состоящее из стольких девяток сколько чисел в периоде

период =11 , это число из двух цифр, значит в знаменателе будет две девятки 4,(11)=4 11/99 затем сокращаем числитель и знаменатель на 11

получится

4,(11)=4 11/99=4 1/9  верное равенство


TutorOnline: потому что только два места для ответа.
bena20193: переведите периодическую дробь в обыкновенную и получите 4 1/9
kokr89stttttt: мені здається, що це правильна рівність
TutorOnline: вот перевод и надо было раписать
bena20193: прочтите в материале 5 класса тему перевод бесконечной периодической дроби в обыкновенную
bena20193: краткость - сестра таланта
TutorOnline: вы не расписали перевод. такие правила сервиса.
kokr89stttttt: дякую за допомогу
bena20193: расписал
bena20193: дорогой улей разума
Вас заинтересует