• Предмет: Математика
  • Автор: kokr89stttttt
  • Вопрос задан 7 лет назад

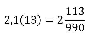
Чи правильна рівність?

Приложения:

Ответы

Ответ дал: SpringScorpion
1

Ответ:

Ні, рівність неправильна

Пошаговое объяснение:

2,1(13) ≠ 2\frac{113}{990}, тому що 2\frac{113}{990}=2,1(14)

Ответ дал: lerazagp13
0

Пошаговое объяснение:

Ну смотри , первое (2)- две целых , единичка и то что в скобках (13) мы совмещаем и будет 2 113 и так как у нас 113 это трёх значное число , мы пишем 990 ( если двух значное то 99 , одно значное 9) и у нас получается 2 113

Ну смотри , первое (2)- две целых , единичка и то что в скобках (13) мы совмещаем и будет 2 113 и так как у нас 113 это трёх значное число , мы пишем 990 ( если двух значное то 99 , одно значное 9) и у нас получается 2 113 990

Вас заинтересует