Ответы
Ответ дал:
1
.............................
Приложения:

Ответ дал:
1
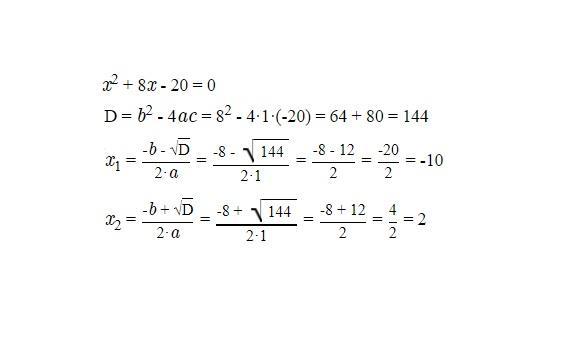
Ответ:
х₁ = 2, х₂ = -10
Объяснение:
x² + 8x - 20 = 0
х = ((-8) ± )/(2*1)
х = ((-8) ± )/2
х = (-8 ± )/2
х = (-8 ± 12)/2
Тогда х₁ = (-8 + 12)/2 и х₂ = (-8 - 12)/2, соответственно х₁ = 4/2 и х₂ = -20/2, значит, х₁ = 2, и х₂ = -10.
Вас заинтересует
2 года назад
2 года назад
2 года назад
9 лет назад