Ответы
Ответ дал:
0
Ответ:
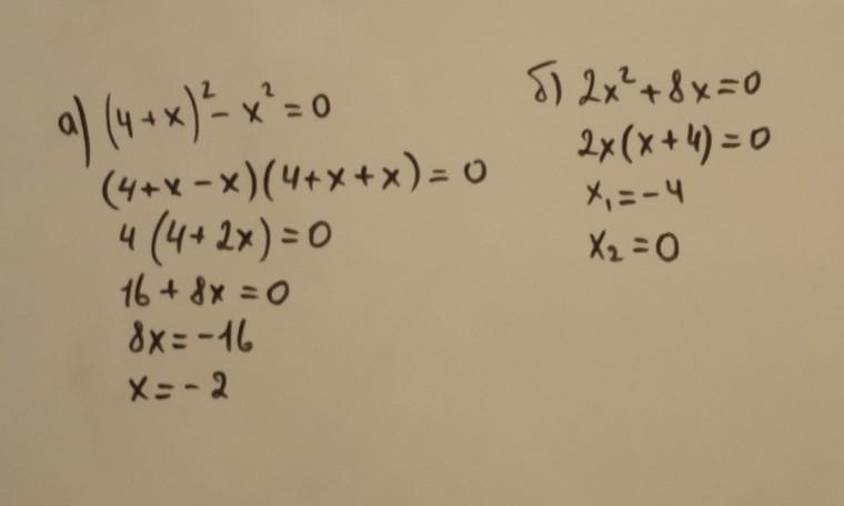
а) -2;
б) x=-4; x=0
Объяснение:
на фотоооооооооо
Приложения:

Вас заинтересует
2 года назад
2 года назад
8 лет назад