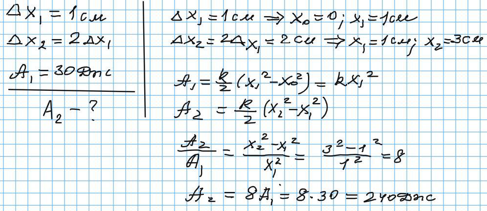
Для того, щоб розтягти пружину на 1 см з недеформованого стану, потрібно виконати роботу 30 Дж. Яку роботу слід виконати, щоб збільшити видовження пружини ще вдвічі?
Візок масою 0,8 кг рухається за інерцією зі швидкістю 2,5 м/с. На візок з висоти 50 см вертикально падає шматок пластиліну масою 0,2 кг і прилипає до нього. Обчисли енергію, яка перейшла у внутрішню під час цього удару.
zybkov1950:
Не дуже чітко сформульоване запитання до №1. Можливо автор мав на увазі, що Х2= 2см
Ответы
Ответ дал:
0
Відповідь: 1. 240 Дж 2. 0,9 Дж
Пояснення:
Приложения:


Вас заинтересует
2 года назад
2 года назад
2 года назад
2 года назад
8 лет назад
8 лет назад
9 лет назад